跳转到内容
学习日志
大一下
大二上
大二下
杂项
友情链接
OrigiN
学习日志
大一下
大二上
大二下
杂项
友情链接
OrigiN
Daily Summary(143)
root
|
10 4 月, 2022
|
下午10:00
|
0
comments
4.10_信安数基
1、二次互反律(定理4.4.1)
2、雅可比符号
3、定理4.5.1
4、定理4.5.2
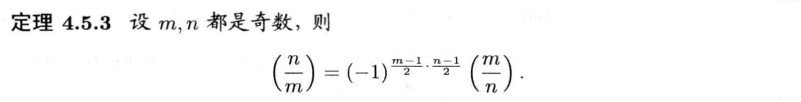
5、定理4.5.3
Category
大二下
学习日志
Tags
No Tag
文章导航
Previous post
Daily Summary(142)
文章导航
Next post
Daily Summary(144)
No responses yet
发表回复
取消回复
您的邮箱地址不会被公开。
必填项已用
*
标注
评论
*
显示名称
*
邮箱
*
网站
在此浏览器中保存我的显示名称、邮箱地址和网站地址,以便下次评论时使用。
搜索:
近期文章
Daily Summary(146)
Daily Summary(145)
Daily Summary(144)
Daily Summary(143)
Daily Summary(142)
近期评论
root
发表在《
Daily Summary(2)
》
董
发表在《
Daily Summary(1)
》
董
发表在《
Daily Summary(2)
》
saltfish
发表在《
新的开始
》
一位WordPress评论者
发表在《
世界,您好!
》
分类
Uncategorized
友情链接
大一下
大二上
大二下
学习日志
杂项
近期文章
Daily Summary(146)
Daily Summary(145)
Daily Summary(144)
Daily Summary(143)
Daily Summary(142)
归档
2022 年 5 月
2022 年 4 月
2022 年 3 月
2022 年 2 月
2021 年 12 月
2021 年 11 月
2021 年 10 月
2021 年 9 月
2021 年 6 月
2021 年 5 月
2021 年 4 月
2021 年 3 月
2021 年 2 月
2019 年 4 月
其他操作
注册
登录
条目 feed
评论 feed
WordPress.org
发送
No responses yet