5.7_Physical

1、自感

自感系数只与回路自身结构因素有关
提高线圈自感系数:用高磁导率芯材,提高匝数密度,增大体积。
自感电动势:,方向:增反减同

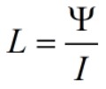
2、互感

互感系数:
互感电动势:

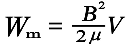
3、磁场能量

  • 螺线管储能
  • 均匀磁场能量
  • 磁能密度

Tags

No responses yet

发表回复

您的邮箱地址不会被公开。 必填项已用 * 标注