5.10_Math
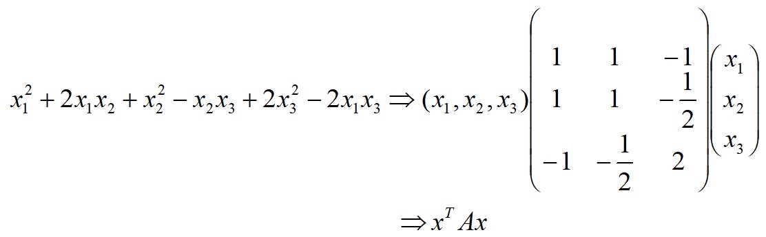
1、二次型→矩阵表达式
①平方项的系数直接做成主对角线
②交叉项的系数除以2放到两个对称的相应位置上
A:二次型的矩阵,对称矩阵,AT=A
2、矩阵表达式→二次型(检查矩阵是否对称)
①主对角线元素直接做成平方项的系数
②取主对角线右(左)上角元素乘以2做为交叉项的系数
3、标准型
- 定义:d1y12+d2y22+···+dnyn2(只有平方项)
- 线性替换:存在X=CY,使得f(X)=XTAX=(CY)TACY=YT(CTAC)Y,CTAC为对角型
- |C|≠0,称为可逆,非退化替换;|C|=0,称为退化替换
4、合同
- 定义:A,B为n阶方阵,存在可逆矩阵C,使得CTAC=B,称A,B合同
- 性质:
- 反身性:A≅A
- 对称性:A≅B→B≅A
- 传递性:A≅B,B≅C→A≅C
- A≅B,r(A)=r(B)
- A≅B,AT=A⇔BT=B
- A≅B,A,B可逆,A-1≅B-1
- A≅B,AT≅BT
- 充要条件:有相同的秩,有相同的正惯性指数(负惯性指数)
5、概念间联系

No responses yet