5.14_Math

1、实例:变力做功(函数为力量变化方程)

带方向

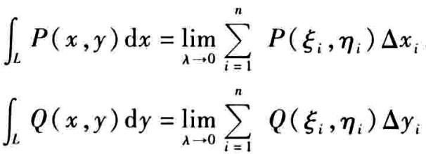
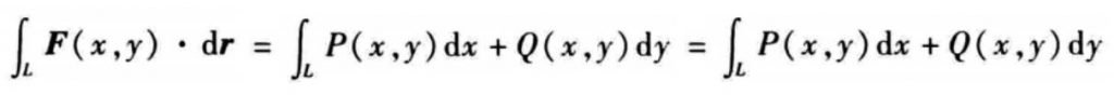
2、对坐标的曲线积分

2、对坐标的曲线积分的性质

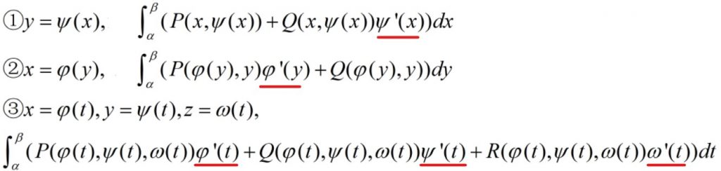
3、对坐标的曲线积分的计算

注意:α不一定小于β,α→β表示起点到终点的方向

Tags

No responses yet

发表回复

您的邮箱地址不会被公开。 必填项已用 * 标注