5.21_Math

1、实例:曲面的质量(函数为密度方程)

2、性质

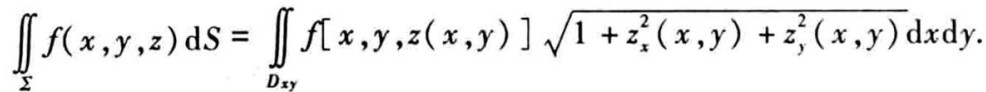
3、计算公式

方法:一投,二代,三微变

4、注意

若Σ向某坐标面投影使有重(chong)点,应将Σ分成投影无重点的若干部分,再相加

Tags

No responses yet

发表回复

您的邮箱地址不会被公开。 必填项已用 * 标注