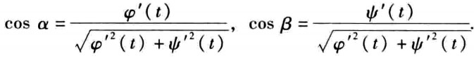
绝大多数题的方向要求从第二类曲线积分(左)转化为第一类曲线积分(右),只需要求出方向余弦cosα,cosβ
您的邮箱地址不会被公开。 必填项已用 * 标注
评论 *
显示名称 *
邮箱 *
网站
在此浏览器中保存我的显示名称、邮箱地址和网站地址,以便下次评论时使用。
No responses yet