6.10_Math

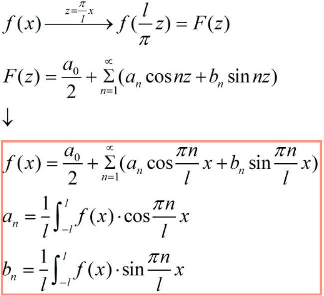
1、2l为周期

2、在(-l,l]上展成傅里叶级数(不是周期函数)

结果限定在区间(-l,l]上

3、奇函数、偶函数

4、在(0,l]上展开成正弦(余弦)级数

傅里叶级数的收敛域为R(和函数f(x)的定义域为R)

本章重点考察
①利用收敛定理求极限值
②求傅里叶系数

Tags

No responses yet

发表回复

您的邮箱地址不会被公开。 必填项已用 * 标注