本质:求函数在定义域内的体积
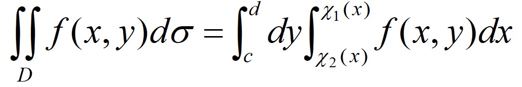
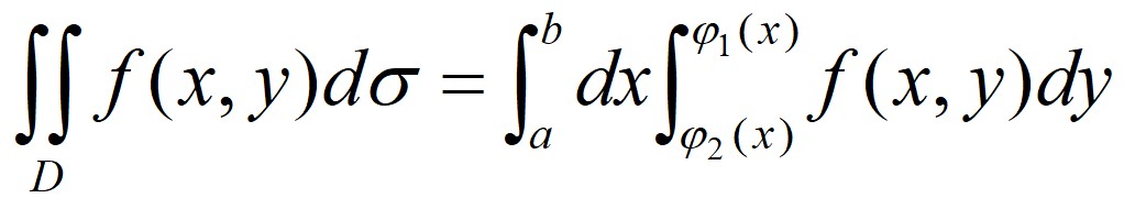
二次积分常常记作(x型)(y型)
第一步:画出积分区域(xoy面)第二步:根据与积分区域的交点判断是x型还是y型··························y型············································x型···························
您的邮箱地址不会被公开。 必填项已用 * 标注
评论 *
显示名称 *
邮箱 *
网站
在此浏览器中保存我的显示名称、邮箱地址和网站地址,以便下次评论时使用。
No responses yet