5.5_Physical

1、法拉第电磁感应定律

  • 负号是楞次定律的数学表达
  • 磁链(磁通匝数,线圈的总磁通量)
  • 感应电流,回路总电阻为R
  • 感应电量

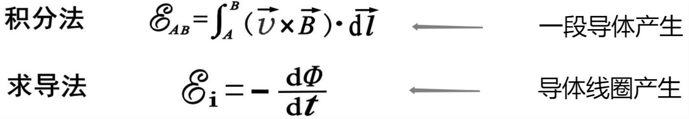
2、动生电动势


计算结果的正负与积分线路的选择有关,结果为,电动势方向与积分路线相同,否则相反

动生电动势的求解方法

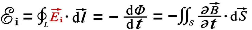
3、感生电动势

感生电场(涡旋电场)与静电场的比较

感生电动势的求解方法

Tags

No responses yet

发表回复

您的邮箱地址不会被公开。 必填项已用 * 标注