5.4_Math
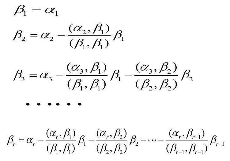
1、施密特正交化
给一组无关的α1,α2,···,αr,求与之等价的正交的β1,β2,···,βr
2、正交矩阵
- 定义:A为n阶方阵,ATA=E
- 性质:
- |A|=1或者|A|=-1
- A-1=AT,且A-1与AT均正交
- A,B均正交,AB也正交
- α,β为n维列向量,(Aα,Aβ)=(α,β)
- 定理:A正交⇔A的列(行)向量组是标准正交向量组
3、实对称矩阵的对角化
- 基础概念
- 实对称矩阵:AT=A(一定能对角化)
- 定理:实对称矩阵A的不同特征值的特征向量正交
- 正交相似:A,B同阶,存在正交矩阵P,使得P-1AP=B
- 给实对称A,求正交Q,Λ,使得Q-1AQ=Λ
步骤- 求特征值,特征向量
- 特征向量正交化,单位化
- 做成列,构成Q
- 求Λ
多种情况(一般为3阶实对称矩阵)- 三个特征根都是单根,特征向量已经正交化,直接单位化
- 一个单根,一个二重根,因为单根对应特征向量与二重根对应的正交,所以只需做二重根对应特征向量的施密特正交化,再做单位化
- 一个三重根,对一个三重根对应的三个特征向量做施密特正交化,再做单位化

No responses yet