6.7_Math

1、题型(缺项级数求收敛域)

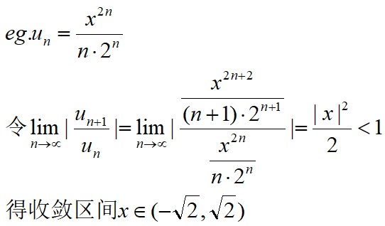
xn不缺项,x2n缺无限个奇次项
方法:①换元→不缺项级数,②比值审敛法→常数项级数(把x看成常数)

2、注意

  1. 线性变化不改变级数收敛区间
  2. 泰勒级数→(换元)→麦克劳林级数

3、和函数的性质

例题

4、题型(利用和函数求级数值)

Tags

No responses yet

发表回复

您的邮箱地址不会被公开。 必填项已用 * 标注