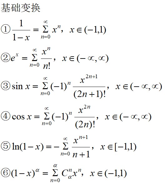
1、直接法(参考课本)2、间接法(主要考察)
例题:(未指定x0使用麦克劳林级数,指定x0使用泰勒级数)判断收敛域:先继承基础变换中的收敛域,再根据实际情况判断端点①是否有意义②是否收敛若变化过程中涉及求导、求积分,应该判断端点是否收敛
您的邮箱地址不会被公开。 必填项已用 * 标注
评论 *
显示名称 *
邮箱 *
网站
在此浏览器中保存我的显示名称、邮箱地址和网站地址,以便下次评论时使用。
No responses yet