跳转到内容
学习日志
大一下
大二上
大二下
杂项
友情链接
OrigiN
学习日志
大一下
大二上
大二下
杂项
友情链接
OrigiN
Daily Summary(126)
root
|
25 12 月, 2021
|
下午3:48
|
0
comments
12.25_概率论
1、数学期望、方差
2、协方差和相关系数
3、两个重要不等式
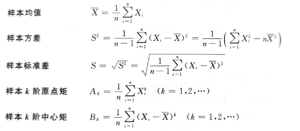
4、常用统计量
统计量中不含未知参数
5、三大分布
6、中心极限定理
7、矩估计、极大似然估计
Category
大二上
学习日志
Tags
No Tag
文章导航
Previous post
Daily Summary(125)
文章导航
Next post
Daily Summary(127)
No responses yet
发表回复
取消回复
您的邮箱地址不会被公开。
必填项已用
*
标注
评论
*
显示名称
*
邮箱
*
网站
在此浏览器中保存我的显示名称、邮箱地址和网站地址,以便下次评论时使用。
搜索:
近期文章
Daily Summary(146)
Daily Summary(145)
Daily Summary(144)
Daily Summary(143)
Daily Summary(142)
近期评论
root
发表在《
Daily Summary(2)
》
董
发表在《
Daily Summary(1)
》
董
发表在《
Daily Summary(2)
》
saltfish
发表在《
新的开始
》
一位WordPress评论者
发表在《
世界,您好!
》
分类
Uncategorized
友情链接
大一下
大二上
大二下
学习日志
杂项
近期文章
Daily Summary(146)
Daily Summary(145)
Daily Summary(144)
Daily Summary(143)
Daily Summary(142)
归档
2022 年 5 月
2022 年 4 月
2022 年 3 月
2022 年 2 月
2021 年 12 月
2021 年 11 月
2021 年 10 月
2021 年 9 月
2021 年 6 月
2021 年 5 月
2021 年 4 月
2021 年 3 月
2021 年 2 月
2019 年 4 月
其他操作
注册
登录
条目 feed
评论 feed
WordPress.org
发送
No responses yet