3.19_Physical

1、基本概念

  1. 角位移(dθ):dθ=θ21逆时针旋转时dθ为正
  2. 角速度(ω):ω=dθ/dt,注意:ω的正负与dθ的正负有关
  3. 角加速度(α”Alpha”):α=dω/dθ,注意:α的正负与dω的正负有关,α与ω同号加速,异号减速
  4. 角动量(L):L=r×p=r×mv其中r是质点相对O点的位矢(位置矢量)(冲量P=mv)
  5. 力矩(M):M=r×F该点到力的作用线所引垂线的长度(即力臂)乘以力的大小(力F)
    • 力矩M等于角动量L时间t的变化率M=dL/dt
  6. 冲量矩(H):H=Mt=r×F×t量度力矩对转动物体的时间累计效应的物理量(冲量I=Ft)
    注意:上述变量的方向;若为叉乘,方向遵循右手螺旋定则
  7. 有心力:方向恒指向或背向一固定中心的力
    • 有心力的力矩M=r×f=0
  8. 质点角动量守恒定理:当质点所受到的外力矩为零时,其角动量守恒
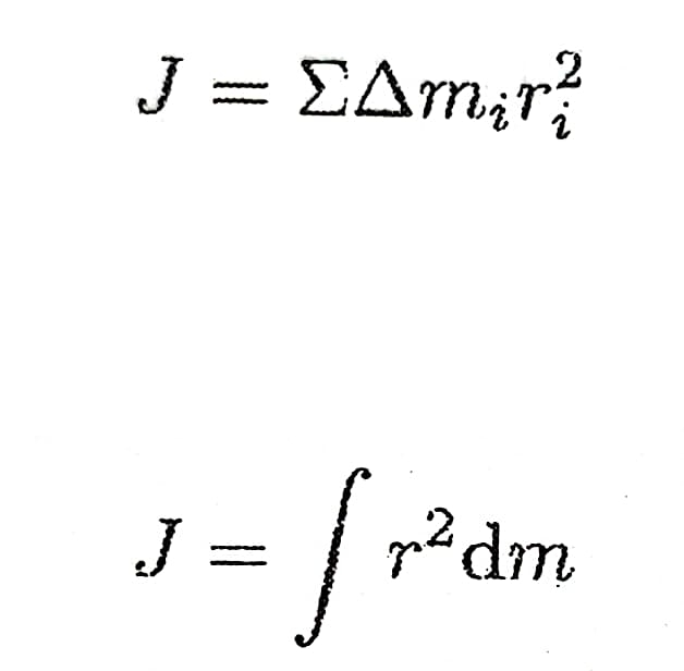
  9. 刚体的转动惯量(I/J):组成刚体的各质元质量与质元到转轴距离平方乘积的代数和
  10. 刚体对定轴角动量:

2、公式(标量式)

  1. 弧长(ds):ds=rdθ
  2. 线速度(v):v=ds/dt=rω
  3. 切向加速度(at):at=dv/dt=rα(Alpha)
  4. 法线加速度(an):an=v2/r=rω2
  5. 总加速度(a):a2=at2+an2
  6. ω=ω0+αt
  7. θ=θ00t+1/2αt2
  8. ω202=2α(θ-θ0)
  9. L=Jω
  10. Mt=Jω→M=Jα

3、求转动惯量

一般方法

特殊值

4、角动量守恒条件:合外力矩等于0(满足以下其一)

  1. 力平行于转轴
  2. 力与转轴相交(或力为有心力)
  3. 内力远大于外力

5、角动量守恒表现:角动量为常数(Iω=C)

  1. I不变,ω也不变
  2. I改变,ω也改变(一增一减)

6、题型


Tags

No responses yet

发表回复

您的邮箱地址不会被公开。 必填项已用 * 标注