跳转到内容
学习日志
大一下
大二上
大二下
杂项
友情链接
OrigiN
学习日志
大一下
大二上
大二下
杂项
友情链接
OrigiN
Daily Summary(3)
root
|
4 3 月, 2021
|
下午3:17
|
0
comments
3.4_Math
1、向量积
a
×
b
大小:
a
×
b
=|
a
||
b
|sinΘ
方向:
a、b、a
×
b
符合右手法则
右手法则:当右手的四个手指从
a
以不超过π的角转向
b
握拳时,大拇指的指向就是
a
×
b
的指向
a
×
b
⟂
a、a
×
b
⟂
b
2、向量积的性质
a
×
a=0
a
×
b
=
0
⟺
a
∥
b
(平行⟺叉乘⟺数乘⟺对应坐标成比例)
a×b= -b×a
(a+b)×c=a×c+b×c
(λa)×b=a×(λb)
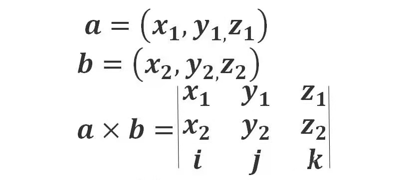
3、叉乘的计算
Category
大一下
学习日志
Tags
No Tag
文章导航
Previous post
Daily Summary(2)
文章导航
Next post
Daily Summary(4)
No responses yet
发表回复
取消回复
您的邮箱地址不会被公开。
必填项已用
*
标注
评论
*
显示名称
*
邮箱
*
网站
在此浏览器中保存我的显示名称、邮箱地址和网站地址,以便下次评论时使用。
搜索:
近期文章
Daily Summary(146)
Daily Summary(145)
Daily Summary(144)
Daily Summary(143)
Daily Summary(142)
近期评论
root
发表在《
Daily Summary(2)
》
董
发表在《
Daily Summary(1)
》
董
发表在《
Daily Summary(2)
》
saltfish
发表在《
新的开始
》
一位WordPress评论者
发表在《
世界,您好!
》
分类
Uncategorized
友情链接
大一下
大二上
大二下
学习日志
杂项
近期文章
Daily Summary(146)
Daily Summary(145)
Daily Summary(144)
Daily Summary(143)
Daily Summary(142)
归档
2022 年 5 月
2022 年 4 月
2022 年 3 月
2022 年 2 月
2021 年 12 月
2021 年 11 月
2021 年 10 月
2021 年 9 月
2021 年 6 月
2021 年 5 月
2021 年 4 月
2021 年 3 月
2021 年 2 月
2019 年 4 月
其他操作
注册
登录
条目 feed
评论 feed
WordPress.org
发送
No responses yet