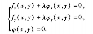
要找函数z=f(x,y)在附加条件φ(x,y) =0下的可能极值点,可以先作拉格朗日函数L(x,y) =f(x,y) + λφ(x,y)其中λ为参数,求其对x与y的一阶偏导数,并使之为零,然后与方程φ(x,y)=0联立起来由这方程组解出x、y 及λ,这样得到的(x,y)就是函数f(x,y)在附加条件φ(x,y) =0下的可能极值点
您的邮箱地址不会被公开。 必填项已用 * 标注
评论 *
显示名称 *
邮箱 *
网站
在此浏览器中保存我的显示名称、邮箱地址和网站地址,以便下次评论时使用。
No responses yet