4.16_Physical

一、各种电容

4、球形电容器

二、电介质中的高斯定理

定理:穿过任一封闭曲面的电位移通量等于该曲面所含自由电荷的代数和(电位移通量:ΨD,电位移矢量:D)

三、电场的边界条件

  • 电位移矢量D从一种介质过渡到另一种介质时,其法向分量的大小不变,即电位移矢量的法线分量在界面是连续的
  • 场强E从一种介质过渡到另一种介质时,其切向分量的大小不变,即场强的切线分量在界面上是连续的

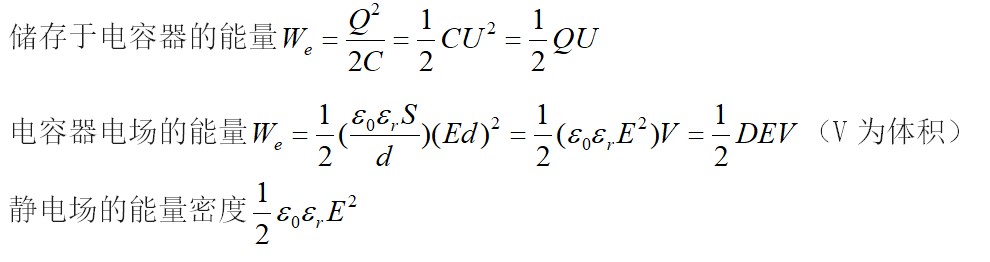
四、电场的能量

Tags

No responses yet

发表回复

您的邮箱地址不会被公开。 必填项已用 * 标注