4.17_Physical

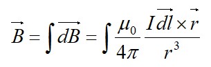
1、毕奥—萨伐尔定律

真空磁导率:μ0=4π×10-7N·A-2
公式:

2、载流直导线磁场

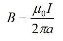
3、无限长直导线磁场(a:P点到直导线距离)

  • P点不在导线延长线上
  • P点在导线延长线上
    B=0

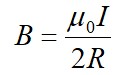
4、圆线圈磁场(R:圆线圈半径)

P点的磁感应强度:
线圈中心:

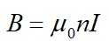
5、无限长直螺线管磁场(n:匝数)

Tags

No responses yet

发表回复

您的邮箱地址不会被公开。 必填项已用 * 标注