4.20_Math

1、二重积分的定义

λ为区域直径(区域最远两点间距离)

2、二重积分的几何意义:曲顶柱体的体积

3、二重积分的对称性定理

4、二重积分求面积

使被积函数为1,所求的二重积分就是积分区域D的面积

4.20_Physical

1、恒定磁场的高斯定理

公式:

  • 注意:
    • 通过闭合曲面总磁通量恒为
    • 恒定磁场的高斯定理说明恒定磁场无源场

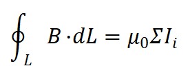
2、安培环路定理

公式:

  • 注意:
    • 安培环路定理说明恒定磁场非保守场(亦称涡旋场

3、恒定磁场的高斯定理题型

Tags

No responses yet

发表回复

您的邮箱地址不会被公开。 必填项已用 * 标注