4.27_Physical

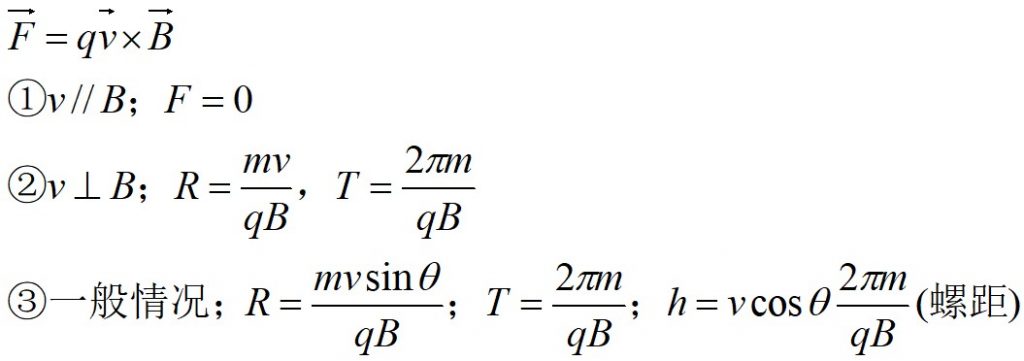
一、洛伦兹力

二、磁场与介质相互作用

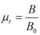
1、相对磁导率

磁化率:χmr-1

2、磁化电流

js:介质棒表面沿轴向单位长度上的磁化电流称为磁化电流线密度

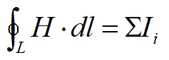
3、磁介质中的安培环路定理

磁场的磁场强度H沿任一闭合回路L环流等于此闭合回路所围(亦即穿过此闭合回路为周界的曲面)的传导电流Ii的代数和

4、磁介质中的磁场强度


介质的磁导率(绝对磁导率):μ=μ0μr

Tags

No responses yet

发表回复

您的邮箱地址不会被公开。 必填项已用 * 标注