4.28_Math

二重积分的计算(极坐标系)

步骤:
1、把直角坐标方程化为极坐标方程,利用关系1
2、根据积分区域D,写出ρ和θ的积分上下限
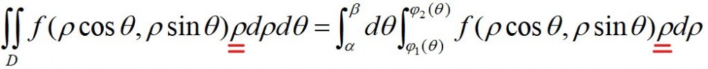
3、带入公式2,求得二重积分
注意:ρ不能掉

关系1
公式1
公式2

极坐标使用的情况

Tags

No responses yet

发表回复

您的邮箱地址不会被公开。 必填项已用 * 标注