4.29_Math

三重积分的计算(直角坐标系)

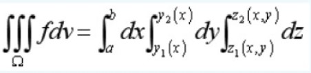
1、投影法(先一后二)

思路:适用于投影比较简单
1、找到一个投影区域D,比如XOY区域
2、计算z(x,y)区域的积分
3、在计算此函数在Dxy上的二重积分

2、截面法(先二后一)

思路:适用于截面比较简单的
类似上面一种,只不过式先对截面面积积分

Tags

No responses yet

发表回复

您的邮箱地址不会被公开。 必填项已用 * 标注