步骤:1、利用关系1,将积分区域转化为ρ,θ,z这三个变量的关系2、根据积分区域,确定ρ,θ,z的取值范围3、利用公式1,进行积分
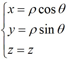
关系1:
公式1:
注意:ρ不能掉
使用柱面坐标的情况:x,y比较适合极坐标,z没有改变
您的邮箱地址不会被公开。 必填项已用 * 标注
评论 *
显示名称 *
邮箱 *
网站
在此浏览器中保存我的显示名称、邮箱地址和网站地址,以便下次评论时使用。
No responses yet