5.1_Math

三重积分的计算(球面坐标)

θ,φ,r变量的理解

特殊:
r=常数;即以原点为心球面
φ=常数;即以原点为顶点、z轴为轴圆锥面
θ=常数;即过z轴半平面

步骤:
1、利用关系1,将积分区域转化为θ,φ,r这三个变量的关系
2、根据积分区域,确定θ,φ,r的取值范围
3、利用公式1,进行积分

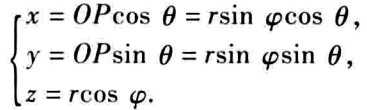
关系1:

公式1:

注意:r2sinθ不能掉

Tags

No responses yet

发表回复

您的邮箱地址不会被公开。 必填项已用 * 标注