3.23__Physical
1、杂项总结
- 转轴的力矩:外力对轴上任意参考点的力矩在轴上的分量
- 质点对某点的角动量对时间的变化率等于作用于质点的外力对该点的力矩之和
2、质点的转动惯量
定义式:I(J)=mR2
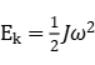
3、刚体的转动动能
公式:
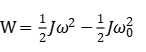
动能定理:
4、平动与转动物理量之间的相似性
| 平动 | 转动 | 平动 | 转动 |
|---|---|---|---|
| 位移x | 角位移θ | 加速度a | 角加速度α |
| 质量m | 转动惯量I(J) | 动量P | 角动量L |
| 力F | 力矩M | 冲量I | 冲量矩H |
| 速度v | 角速度ω |
3.23__Math
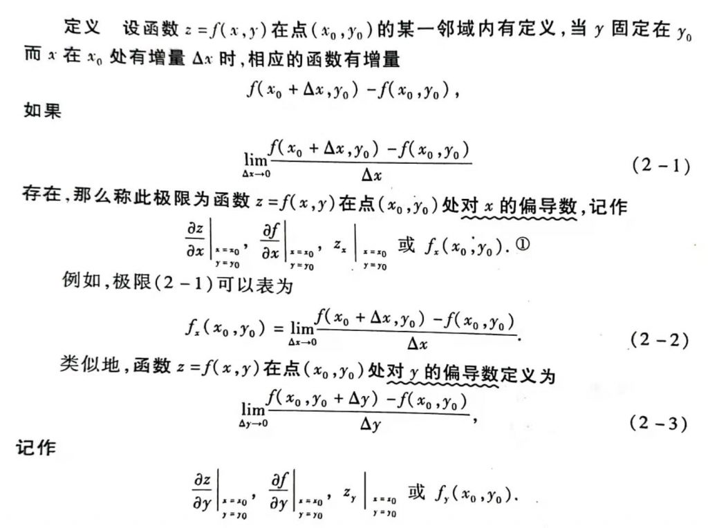
1、偏导数的定义

2、如何求偏导数
- 求对x的偏导:视y为常数,对x求导
- 求对y的偏导:视x为常数,对y求导
3、几何含义
- 一元,可导必连续
- 二元
对x的偏导存在,在曲线z=f(x,y0)连续;
对y的偏导存在,在曲线z=f(x0,y)连续 - 注意:偏导数存在,在(x0,y0),未必连续

4、高阶偏导数


No responses yet