3.24_Math

1、定理3

A可逆↔A的标准型为E(单位阵)

2、定理4

A可逆↔A=P1,P2…Ps(E)

3、初等变换法求逆矩阵

  • 初等行变换法求逆矩阵
    1. 将A于E左右写在一起
    2. 同时对A,E做初等行变换,使左边A变为E
    3. 右边的E经过同等变换后便是A-1
      • 注意:从第一列开始,逐个往后变换;对一整行进行操作;只对行变换;不管是否可逆,若左边A化不成E,说明A不可逆

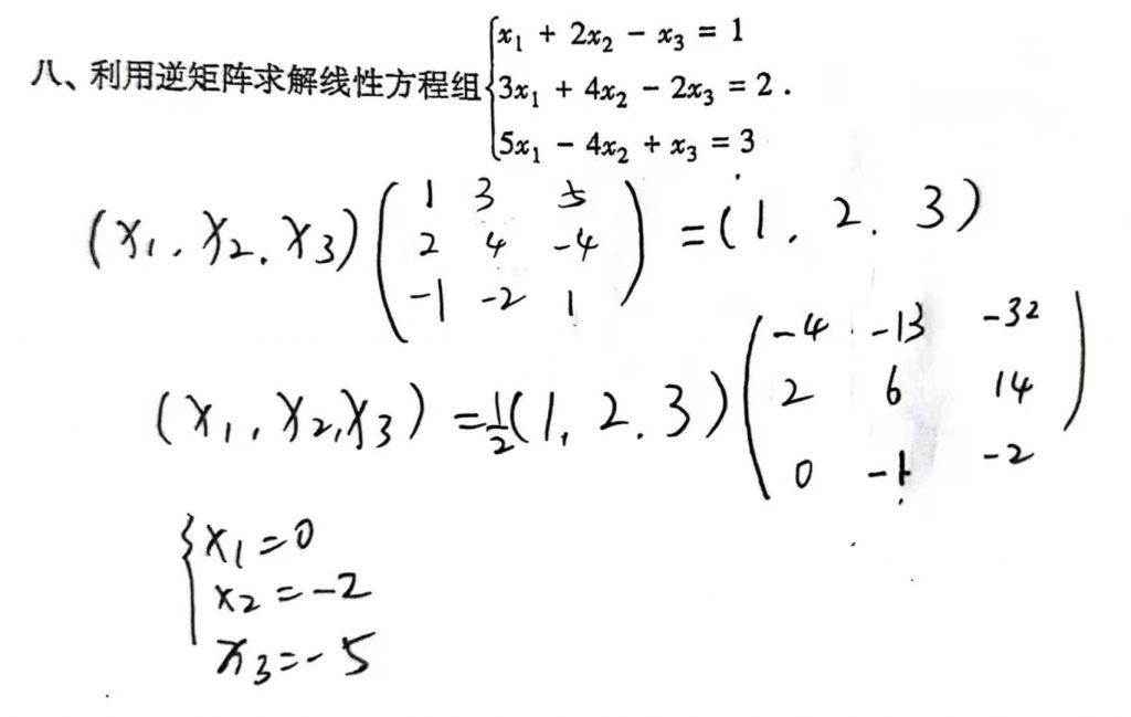
4、逆矩阵求解线性方程组

5、题型

Tags

No responses yet

发表回复

您的邮箱地址不会被公开。 必填项已用 * 标注