3.30_Physical

1、静电场中的几个物理量

真空介电常量:ε0
电荷线密度:λ
电荷面密度:σ
电荷体密度:ρ
静电力常量:k=1/4πε0

2、高斯定理

高斯定理说明静电场是有源场

3、均匀带电无限长直棒到空间一点的场强

4、均匀带电圆环到空间一点的场强

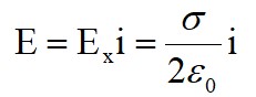
5、均匀带电无限大平面到空间一点的场强

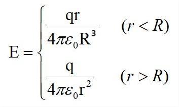
6、均匀带电球的场强大小(r:高斯球面半径;R:带电球面半径)

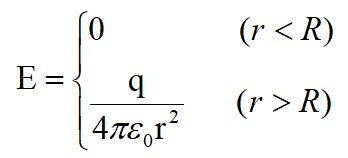
7、均匀带电球的场强大小(r:高斯球面半径;R:带电球体半径)

Tags

No responses yet

发表回复

您的邮箱地址不会被公开。 必填项已用 * 标注